闾山威灵坛法1-5期罗金主讲 文档222页
本法脉由台湾传过来,属于闾山法的一个分支,是闾山威灵公派,供奉城隍土地黑白无常,置下坛,此套法脉非常刚猛,效果非常好。
目錄
一、大請神篇
二、符篆篇
·各式雜符篇.感情和合篇·驅邪化煞篇·招財貴人篇·治病雜符篇·斗法懲戒篇
三、法事篇
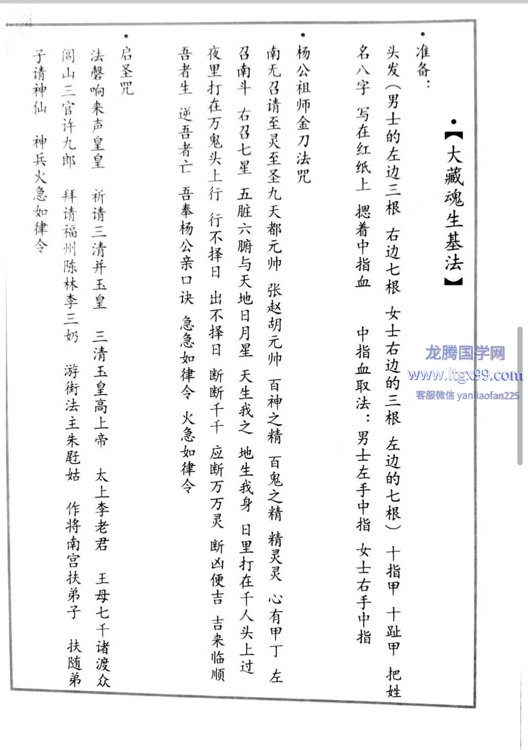
·城隍討債法·大藏魂生基法·五 鬼運財法簡補運法·閭山禁酒法·請五營神兵法·神像開光法·化童子煞法·招財旺店法
四、閭山請神呪
五、閭山各式法呪
六、物品開光篇

温馨提示:部分玄学、武术、医学等资料非专业人士请勿模仿学习,仅供参考!
服务说明:
(1)、资源来源于网络公开发表文件,所有资料仅供学习交流;
(2)、金币仅用来维持网站运营,性质为用户友情赞助,并非购买文件费用(1元=1学分);
(3)、如遇百度网盘分享链接失效,可以联系客服管理员微信 wang316592 ;
(4)、不用担心不给资料,如果没有及时回复也不用担心,看到了都会发给您的!放心!
(5)、 虚拟资源非实物,不发快递,仅供百度网盘下载使用
(6)、因虚拟资源具有可复制性,一经售出,概不退换
声明:
任何个人或组织,在未征得本站同意时,禁止复制、盗用、采集、发布本站内容到任何网站、书籍等各类媒体平台。
如本站内容侵犯了原著者的合法权益,联系我们会立即删除 客服微信:wang316592



